▪ Discovery of Covid-19 therapeutics

Targeting the Main Protease of SARS-CoV-2: From the Establishment of High Throughput Screening to the Design of Tailored Inhibitors (Breidenbach, J., Lemke, C. et al. Angew. Chem. Int. Ed. 202160, 10423-10429).

Andrographolide Derivatives Target the KEAP1/NRF2 Axis and Possess Potent Anti-SARS-CoV-2 Activity (Schulte, B. et al. ChemMedChem 202217, e202100732).

Research_Covid1.png
© MG
Research_Covid2.png
© MG

An active-site titrant for SARS-CoV-2 main protease (Voget, R. et al. Acta Pharm.
Sin. B
 202414, 2349-2357).

Graphical abstract.png
© MG

▪ Development of PROTACs

Homo-PROTACs for the Chemical Knockdown of Cereblon (Steinebach, C., Lindner, S. et al. ACS Chem. Biol. 201813, 2771-2782).

Development of the First-in-Class NLRP3 PROTAC, Inducing a VHL-dependent Degradation of the Key Component of the Inflammasome (Keuler, T. et al. Chem. Commun. 2025, 61, 3001-3004).

PROTACs
© MG
NLRP3 PROTAC.png
© MG

▪ Development of low-molecular inhibitors of human cysteine and serine proteases

A gorge-spanning, high-affinity cholinesterase inhibitor to explore β-amyloid plaques (Elsinghorst, P.W. et al. Org. Biomol. Chem. 20097, 3940-3946).

Model of the cyanobacterial cyclic peptide brunsvicamide B bound to the active site of human leukocyte elastase (Sisay, M.T. et al. ChemMedChem 20094, 1425-1429).

Research_Proteases1.png
© MG
Research_Proteases2.png
© MG

Synthesis and radiopharmacological characterization of a fluorine-18-labelled azadipeptide nitrile as PET-tracer for cathepsin imaging in vivo (Löser, R. et al. ChemMedChem 20138, 1330-1344). 

A bisbenzamidine phosphonate as a Janus-faced inhibitor for trypsin-like serine proteases (Häußler, D. et al. ChemMedChem 201510, 1641-1646).

Research_Proteases3.png
© MG
Research_Proteases4.png
© MG

▪ Characterization of the key role of the membrane-bound type II transmembrane serine protease matriptase-2 in iron homeostasis

By cleaving hemojuveline (m-HJV), the bone morphogenetic protein (BMP) co-receptor, matriptase-2 downregulates SMAD signaling leading to suppressed hepcidin expression and increased iron plasma levels (for a review, see: Stirnberg, M. and Gütschow, M. Curr. Pharm. Des. 201319, 1052-1061).

Phosphono Bisbenzguanidines as Irreversible Dipeptidomimetic Inhibitors and Activity-Based Probes of Matriptase-2 (Häußler, D. et al. Chem. Eur. J. 2016).

Research_Matriptase1.png
© MG
Research_Matriptase2.jpg
© MG

Characterization of low-molecular weight ligands using active-site-mutated variants of matriptase-2 (Maurer, E. et al. ChemMedChem 2012).

Research_Matriptase3.png
© MG

▪ Mechanism of the enzyme-inhibitor interactions, enzyme kinetics, e.g. analysis of the reactions of enzymes with mechanism-based inhibitors and artificial substrates

Kinetics of the cholesterol esterase-catalyzed hydrolysis of 6,7-dihydro-2-dimethylamino-4H,5H-cyclopenta[4,5]thieno[2,3-d][1,3]oxazin-4-one. Left: Depletion of the compound is illustrated by monitoring UV/VIS-spectra at 10 min-intervals. Right: Hydrolysis of the compound was followed at 350 nm (Pietsch, M. and Gütschow, M. J. Med. Chem. 200548, 8270-8288).

Research_Kinetics1.jpg
© MG

▪ Development of synthetic inhibitors of angiogenesis and TNF-alpha production


▪ Activity-based probes for proteases

An activity-based probe to chemically introduce the green fluorescence for the ex vivo imaging of human cysteine cathepsins (Frizler, M. et al. Org. Biomol. Chem. 201311, 5913-5921).

An activity-based probe for cathepsin K imaging with excellent potency and selectivity (Lemke, C. et al. J. Med. Chem. 202164, 13793-13806).

Research_ABPs1.png
© MG
Research_ABPs2.jpg
© MG

▪ Synthesis and structural elucidation of heterocycles, investigations on heterocyclizations, ring cleavages, trapping reactions

Investigations on alternative ring closures and analysis of rotational barriers (Häcker, H. G. et al. Synthesis 2009, 1195-1203).

An access to biologically active aza-Freidinger lactams and E-locked analogs (Ottersbach, P. A. et al. Org. Lett. 201315, 448-451). 

Research_heterocycles1.jfif
© MG
Research_heterocycles2.png
© MG

Regioselective sulfonylation and intramolecular N- to O-sulfonyl migration as verified by kinetic and crossover experiments (Mertens, M. D. et al. J. Org. Chem. 201378, 8966-8979. 

Formation of trisubstituted hydantoins (Meusel, M. et al. J. Org. Chem. 200368, 4684-4692).

Research_heterocycles3.jfif
© MG
Research_heterocycles4.png
© MG

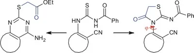
▪ Structure-activity relationships of biologically active heterocycles

Docking of 2-(4-methylpiperazinyl)-4H-3,1-benzoxazin-4-one toward the active site of cathepsin G (Gütschow, M. et al. Arch. Biochem. Biophys. 2002402, 180-191).

Limiting the Number of Potential Binding Modes by Introducing Symmetry into Ligands: Structure-Based Design of Inhibitors for Trypsin-Like Serine Proteases (Furtmann, N. et al. Chem. Eur. J. 201622, 610-625).

Research_SAR1.jfif
© MG
Research_SAR2.png
© MG

Wird geladen